icon-sns-youtube icon-sns-facebook icon-sns-twitter icon-sns-instagram icon-sns-line icon-sns-tiktok icon-sns-etc
SEARCH

機械設計

2026.01.27

産業機械の振動対策の基礎と防振機器の選定・活用ポイント

  • facebook
  • twitter
  • LINE

エーエス 矢口 大輔、鈴木 洋一

やぐち だいすけ:技術開発室
すずき よういち:生産本部

はじめに

 「振」動を「防」ぐ行為、すなわち「防振」は、機械工業の発展とともにそれらが発する振動が機械機能、生産活動に与える障害や、人への健康被害につながる“厄介物”の駆除として技術革新と共存し続ける技術である。代表的な防振対策は自動車や電車の走行振動の伝搬を軽減するショックアブソーバ(図1)であり、防振技術全般についても同様にばねとダッシュポット(以下、ダンパ)の2 種類の機能が組み合わさったものと考えてよい(図1)。
図1 防振器の構成

図1 防振器の構成

振動対策“防振” の種類

 有害な振動を軽減するという広義での“防振”であるが、振動対策の目的によっては以下のように呼び方が分類されるので参考にされたい(図2(a)~(d))。
図2 防振対策呼称の種類

図2 防振対策呼称の種類

1.防振

 エンジン、モータなどの回転部の不均等質量により発生する振動を周辺に伝えないようにする。本技術の応用、拡張がなされたものが、次第に目的の差別化をするために以下のように呼ばれるようになった。

2.除振

 周辺から伝わる振動を被対象物に伝えないようにする。微細加工や精密な検査、解析などを機能とする機械は“嫌振機”などと呼ばれるものに設置されていることが多い。

3.制振

 振動源自体の振動を小さくするとともに、揺れる継続時間を短縮する。

4.免震、制震

 入力振動が地震である場合の除振、制振。

5.緩衝

 防振とは少々毛色が異なるが、要素が同一であり、出力される振動(力)が小さくなる点で防振と一括りにされる場合がある。車両のバンパーのように普段は仕事をしておらず、不意な衝突でのダメージを吸収し、系本体の機能損傷を軽減するもの。

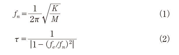
防振性能の指標

 支持する質量M(N)と剛性K(N/m)より求まる固有振動数fn(Hz)(式(1))が低いほどゆっくり揺れる。振動源の周波数fe(Hz)の1/ 2倍よりいっそう低いほど振動低減効果τが高くなる(式(2))。
図2 防振対策呼称の種類

防振機器の種類と特徴

1.荷重を支持する主な弾性体

(1)コイルばね
 鋼棒をコイル状に成形することで、応力を分散させ、優れた弾性伸縮機能が得られる(図3)。防振材としては圧縮方向に使用することが多いが、まれに引張方向に使用されることもある。
図3 コイルばね

図3 コイルばね

 支持荷重に対し、たわみ量が10~40 mmで使用されることが多く、その量が大きいほど固有振動数が低いものとなる。減衰機能がないので、目的によっては別途ダンパ機能が必要になる。
(2)ゴム
 図4 は“防振ゴム”として量販されているものも多くあり、防振材としては一般の認知度が高い。図5、図6 は高速プレスのクランク速度や品物を打ち抜いたときのブレークスルーと呼ばれる衝撃を緩衝するために剛性を調整されたものである。
図4 ゴム板、ゴムシート鋼

図4 ゴム板、ゴムシート鋼

図5 HS.積層ラバーマウント(積層数で剛性を調整)

図5 HS.積層ラバーマウント(積層数で剛性を調整)

図6  AF.V 型マウント(ゴムの圧縮特性とせん断特性の分配利用)

図6  AF.V 型マウント(ゴムの圧縮特性とせん断特性の分配利用)

 ゴムは素材自体の分子鎖の動きや内部摩擦で減衰機能(ねばり)が生じ、別途ダンパの設置を省けるメリットがあり、取付姿勢を変える、積層することで弾性域を調整し幅広く使用することも可能だが、荷重を支持するために硬度を高く製造する必要があることから、コイルばねほど固有振動数を小さくするのは困難である。

 防振対象は、おおむね10 Hz 以上の定常的な周波数であるものに限定するか、衝撃緩衝材としての利用が好ましい。ゴム板は量販店で入手できる手軽なものであるが、どちらかというと音響(固体伝搬音)対策用と考えた方が無難である。 

(3)空気ばね
 ゴム膜で密封された0.2~0.5 MPa程度の圧縮空気で荷重を受ける。荷重次第で必要な受圧面積、有効直径を求め、防振性能に適した剛性を得るために内容積を求めることで、カタログより該当する型式品を選定する。求められる剛性を低く設定する場合、本体の内容積だけでは不足することがあり、外部に補助タンクを設けることもある(図7右)。
図7 空気ばね

図7 空気ばね

 ゴム膜に減衰性が存在するが、加振力に対する応答振幅次第ではダンパ併設を必要とする。 別途バルブを利用して空気の出し入れで伸縮ができることから、ジャッキやアクチュエータとしての利用も可能(例:バスの乗降時車高調)。

2.大変形を抑制するダンパ

(1)粘性体ダンパ
 シリコン(図8)の水飴のように粘る力で“対象の動きを鈍らせる効果”が得られる。単発的な大入力があった場合に防振系応答の大変位を抑制したり、自由振動の継続時間を短縮させたりするために導入する。
図8 粘性体ダンパ

図8 粘性体ダンパ

(2)オイルダンパ
 粘性体ほどの高い粘度ではないオイル(鉱物油、合成油)が、ピストンの動きによりシリンダ内に設けられたオリフィス(小さな孔)を通過するときの抵抗を減衰力として利用するもの(図9)。自動車のダンパなど。
図9 オイルダンパ

図9 オイルダンパ

(3)摩擦ダンパ
 ブレーキパッドと摩擦面の摺動により減衰力を得る(図10)。供給空気の圧力を調整して必要な制動力を決め、粘性体ダンパやオイルダンパと同様に、応答変位を抑制する。拡張用途として、防振装置として使用しないときに安全策として固定するなど利用検討ができる。
図10 摩擦ダンパ

図10 摩擦ダンパ

63 件
〈 1 / 2 〉

関連記事