icon-sns-youtube icon-sns-facebook icon-sns-twitter icon-sns-instagram icon-sns-line icon-sns-tiktok icon-sns-etc
SEARCH

機械設計 連載「若手技術者戦力化のワンポイント」

2025.11.11

第18回 若手技術者が数値データの相対比較をできない

  • facebook
  • twitter
  • LINE

FRP Consultant 吉田 州一郎

母標準偏差による数値データ取得ばらつき算出例

 母標準偏差による数値データ取得ばらつき算出について例を示したい。

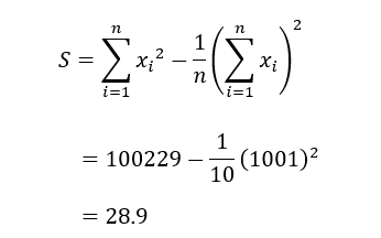
 ある樹脂の射出成形品について、その重量計測値で不可避なばらつきを算出する。100 g 狙いで成形される樹脂部品の重量計測結果は表2 で示した。n数10で、xiは重量、そして単位はgである。
表2 射出成形品の重量一覧

表2 射出成形品の重量一覧

 表2のデータについて、各算出結果を示す。
表2 射出成形品の重量一覧
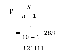
 したがって、母標準偏差σは以下のように計算できる。
表2 射出成形品の重量一覧
表2 射出成形品の重量一覧
 母集団が正規分布を示すとして、母標準偏差σの数値から推定されるばらつきの範囲のうち、その90%を不可避なばらつきとして評価するのであれば、標準正規分布表で0.05 付近を探す、もしくはExcelの関数NORM.S.INV(0.95)で算出可能だ。0.95 なのは片側の確率を示しているためである。つまり+側だけの評価のため、-側の確率も含める場合、両側で5%ずつを考慮することで全体範囲として10%とすることができる。NORM.S.INV(0.95)の数値は1.64485…となる。仮に1.645とすると、今回の例題で考慮すべきばらつきの範囲は以下のように算出できる。
表2 射出成形品の重量一覧
 以上のことから、今回示した例題では±2.95 g、もしくは範囲で5.9 g 程度は測定誤差として扱うべき、という一指標を得られる。ただし、実際は数値データ群が正規分布かという検定を行う必要があることを合わせて触れておく。当該検定の方法の詳細については、過去の連載1)を参照してもらいたい。

本記事に関する一般的な人材育成と技術者育成の違い

 数値データの相対比較に関する一般的な人材育成と技術者育成の違いを表3 に示す。数値データの相対比較という業務は、技術業務以外でも必要になる場面が多いと考える。しかしながら、これらを想定した一般的な人材育成はあまり見当たらないかもしれない。業務上必要な従業員がOJTで学ぶことが通常ではないだろうか。
表3  数値データの相対比較に関する一般的な人材育成と技術者育成の違い

表3  数値データの相対比較に関する一般的な人材育成と技術者育成の違い

 技術者育成ではこれまで述べてきたとおり、数値データの相対比較がさまざまな業務で必要となる。そのため、OJTだけでなく数値データのグラフ化や印刷後の重ね合わせといった、今回紹介した数値データ相対比較のやり方や留意点の解説を行う必要がある。また、相対比較の大前提となる数値データ取得条件同一性の確認の重要性を徹底理解させることが重要だ。さらに、数学的観点も取り入れながら数値データの相対比較に活用できる知見に関する指導を実施し、例題を通じて数学的な基礎部分を理解させたうえで実務を遂行させることの繰返しにより、数値データの相対比較を行うにあたっての技術業務の基礎力を醸成する。

まとめ

 技術者にとって特に数値を基本としたデータを読み解くことは、大変重要な基本スキルの一つといえる。数値データを俯瞰的に見て変曲点を探るといったデータの相対比較による技術検証は、今回事例として紹介した市場問題の原因究明アプローチの代表的なものの一つだ。実業務ではできるだけ早く、かつ迅速な判断が求められるが、それを実現するには技術者はあらかじめ必要な業務フローを自分なりに構築しておくことが必要条件となる。このような背景も踏まえ、数値データのグラフ化、重ね合わせ、母標準偏差による不可避なばらつきの理解といった知見は若手技術者のうちに身につけておきたい。

 ぜひ実践いただきたい技術者育成内容である。
参考文献
1 )吉田州一郎:第22 回 取得したFRP静的材料データは本当に正規分布として扱っていいのか、機械設計、Vol.64、No.11(2020)
53 件
〈 3 / 3 〉

関連記事