icon-sns-youtube icon-sns-facebook icon-sns-twitter icon-sns-instagram icon-sns-line icon-sns-tiktok icon-sns-etc
SEARCH

機械設計 連載「若手技術者戦力化のワンポイント」

2025.11.11

第18回 若手技術者が数値データの相対比較をできない

  • facebook
  • twitter
  • LINE

FRP Consultant 吉田 州一郎

数値データは視覚的に捉えられるようグラフ化する

 数値データの相対比較を行うにあたっての大前提は、“データを俯瞰的に見られること”にある。技術者の普遍的スキルの一つである論理的思考力を活かすためにも必要な考え方だ。ここで重要となるのが“グラフ化”だ。

 貴重な数値データが得られたとしても、それが単なる数字の羅列では、これらが何を示しているのか理解することは大変難しい。そこで、人間の情報認知効率が“活字<画像<動画”の順に上がることを念頭に、数値データをグラフ化することが重要だ(図2)。数値のグラフ化により、画像として認識できるようになったデータは、技術者の視点を俯瞰的に見られる地点まで引き上げてくれる。
図2  数値をグラフ化することで技術者はデータを俯瞰的に見ることが可能となる

図2  数値をグラフ化することで技術者はデータを俯瞰的に見ることが可能となる

グラフの軸のスケールを合わせ、必要に応じた正規化を行う

 数値データをグラフ化するにあたり気を付けなくてはいけないのが、軸のスケールだ。グラフ化したものの縦軸のスケールが異なっていては、相対比較はできない。

 一方で軸スケールは合致しているものの、生データのままでは比較が困難なこともある。例えば化学構造分析手法のFT-IR は透過度、または吸光度で化学構造由来の赤外吸収スペクトルピークを読み取る。この評価の難しいところは、評価サンプル濃度の微小な違いが大きなピーク高さの違いとして現れることだろう。このように、軸スケールを合わせるだけでは評価が難しい場合、基準となるピーク高さを1 とする“正規化”が有効だ。各数値データについて、基準となる数値を1 とすることで、軸スケールを合わせれば相対比較が可能となる。前述のFT-IR を例にすると、化学反応によって変化しにくい安定構造の芳香環由来のピークを基準として評価することがある。

 いずれのケースも共通するのが、基準なき相対比較は無意味ということだ。

相対比較を行うグラフは印刷のうえで重ね合わせる

 ここまで述べてきた注意点に留意のうえ、グラフを活用した相対比較を行う段階になったとする。ここで技術者育成の観点から若手技術者に行わせたいのは、「比較したい数値データのグラフを印刷して重ね合わせる」という、極めてアナログなやり方だ(図3)。もちろん、電子データ上で重ね合わせを行っても問題ないが、あえて印刷して重ね合わせることの意味は、若手技術者に“限られた条件の中でどのように相対比較を行うのかの鍛錬をさせる”ことにある。
図3  印刷したグラフの重ね合わせも重要な相対比較のやり方の一つ

図3  印刷したグラフの重ね合わせも重要な相対比較のやり方の一つ

 デジタルデータの取得が常識となっている昨今だが、技術者育成の観点から言うとやはり最重要なのはアナログデータだ。連続データであればチャート紙に印刷されたグラフこそ価値がある。その最大の理由は“改ざんの難しさ”にあるだろう。

 電子データは簡単に大量のデータを生成し、編集することが可能だ。それは効率向上のメリットがある反面、データ改ざんを容易にする負の側面もある。そのため、品質保証に対する意識の高い企業ではデジタルに加え、今でもアナログでのデータ取得を併用しているはずだ。このような現場では、数値データをグラフ化することさえ難しい場合もあり、場合によってはチャート紙を見るしかない。そこで、技術者が数値データの相対比較を行いたいのであれば、チャート紙を重ね合わせて、差異があるかを見る必要があるだろう。デジタルに慣れ親しんだ若手技術者の中には、このようなアナログ技術業務を前提とした対応を思いつくのが難しいこともあるため、一見無駄に思える印刷紙の重ね合わせを通じた経験をさせることが肝要だ。

数値データ取得条件の一致性を徹底確認する

 数値データの相対比較に関するやり方の概要はご理解いただけたと思う。ここで既述の業務対応の前提条件に触れておきたい。

 その前提条件とは、「数値データ取得条件が一致していること」にほかならない。評価データを取得した設備、センサというハードはもちろん、サンプリング速度やゲインなど、相対比較対象であるパラメータを除くすべてのものが“相違ない”ことを意味する。これらが前提とならなければ不確定要素が増えることとなり、相対比較する際に同一のものが異なると見える、もしくはその逆の事象が生じかねない。

 本点を若手技術者に周知させることはもちろん、指導する側のリーダーや管理職も理解しなければならない。

数値データ取得で“不可避なばらつき”に母標準偏差を活用する

 もう一点、技術者育成として押さえておきたいのが数値データ取得で“不可避なばらつき”だ。相対比較で明らかとなった違いが、不可避なばらつきの範疇なのかを判断するのを手助けする。若手技術者に指導するにあたっては、技術者の普遍的スキルの一つであるグローバル技術言語力を鍛錬する意味でも、リーダーや管理職は数式を使って指導してほしい。以下、指導例を示す。

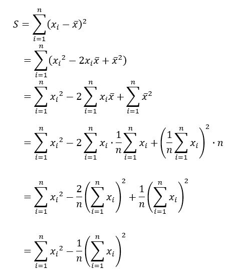
 ばらつきの評価に応用するのは“母分散の推測”だ。母集団、今回の例であれば取得した数値データ群がどの程度の分散を有するのか、つまり母分散を推測するという意味である。母集団に属するサンプル、すなわち個別数値データが xi (i=1,2,…,n)の場合、ばらつきの尺度を意味する平方和S は次式で示される。x̄は母集団の平均値だ。個別数値データと平均値との差分を、正負をキャンセルするため二乗している
図3  印刷したグラフの重ね合わせも重要な相対比較のやり方の一つ
 Excel などの計算ソフトを用いればそれほど難しくないが、一般的にSは次式で算出する。
図3  印刷したグラフの重ね合わせも重要な相対比較のやり方の一つ
 若手技術者の普遍的スキルを鍛錬させたいのであれば、前式を導出させることが一案だ。以下のように式変形しながら導出できれば、平方和に対する理解も深まるだろう。
図3  印刷したグラフの重ね合わせも重要な相対比較のやり方の一つ
 以上のとおり、確かに目的の式が導出された。x̄をxiで表現できないか、と発想を転換するのがポイントだ。一つひとつの式変形は基本的であるが、この基本を丁寧に式で表現するのも、技術者の普遍的スキルの鍛錬に大変有効である。数式変形の一つひとつをわかりやすく数式で伝える力は、技術者間のコミュニケーション活性化の生命線だ。

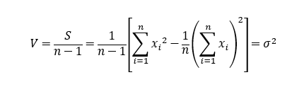
 ここで算出した平方和を自由度で割り込んだものが不偏分散Vであり、その平方根が母標準偏差σである。
図3  印刷したグラフの重ね合わせも重要な相対比較のやり方の一つ
53 件
〈 2 / 3 〉

関連記事